当前位置:
首页
>
奋进赫山
>
政务要闻
>
通知公告
2020年赫山区建栏立卡重度残疾人无障碍改造公示名单
发布时间:2020-06-09 09:46
信息来源:区残联
作者:
浏览量:
【字体:
大
中
小
】
【打印本页】
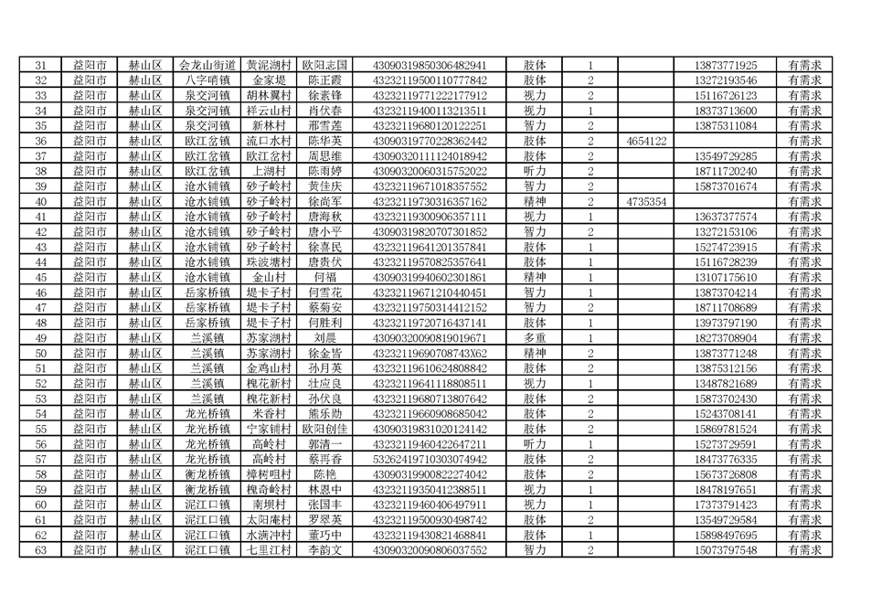
根据益残联【2020】11号《关于实施2020年贫困残疾人家庭无障碍改造项目的通知》文件要求,现将2020年赫山区建栏立卡中有改造需求的贫困重度残疾人家庭无障碍改造对象名单予以公示:
电子档下载地址:
2020年赫山区建栏立卡重度残疾人无障碍改造公示名单.xlsx
扫一扫在手机打开当前页